Exclusive-OR and exclusive-NOR gates are formed by a combination of other gates already discussed, as you will see . However, because of their fundamental importance in many applications, these gates are often treated as basic logic elements with their own unique symbols.
The Exclusive-OR Gate
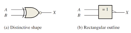
Standard symbols for an exclusive-OR (XOR for short) gate are shown in Figure 1. The XOR gate has only two inputs. The exclusive-OR gate performs modulo-2 addition . The output of an exclusive-OR gate is HIGH only when the two inputs are at opposite logic levels. This operation can be stated as follows with reference to inputs A and B and output X:
For an exclusive-OR gate, output X is HIGH when input A is LOW and input B is HIGH, or when input A is HIGH and input B is LOW; X is LOW when A and B are both HIGH or both LOW.
![]() |
| Figure 1 |
Truth table for an exclusive-OR gate.
The Exclusive-NOR Gate
Standard symbols for an exclusive-NOR (XNOR) gate are shown in Figure 2. Like the XOR gate, an XNOR has only two inputs. The bubble on the output of the XNOR symbol indicates that its output is opposite that of the XOR gate. When the two input logic levels are opposite, the output of the exclusive-NOR gate is LOW. The operation can be stated as follows (A and B are inputs, X is the output):
For an exclusive-NOR gate, output X is LOW when input A is LOW and input B is HIGH, or when A is HIGH and B is LOW; X is HIGH when A and B are both HIGH or both LOW.
![]() |
| Figure 2 |
Truth table for an exclusive-NOR gate.
Operation with Waveform Inputs
Determine the output waveforms for the XOR gate and for the XNOR gate:








Post a Comment
0 Comments